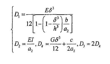
柜体是由立柱、侧板、多道抗风环、走廊和楼梯等姐成的正多边形棱柱体加筋壳体,承受柜体自重和柜顶传递的竖向荷载、内部煤气压力、风载、雪载、温度荷载作用。在建立煤气柜柜体有限元模型时,为了简化计算过程,楼梯走廊等附属结构忽略P41。W下重点介绍侧板、立柱和抗风环模型简化的方法与理论。煤气柜侧板由于其单侧加肋板的特殊结构表现为各向异性。对于这类加肋板,虽然可W用变分法计算它们在横向荷载作用下的烧度和内力,也可用能量法计算它们的自然频率和临界荷载,但计算很繁琐。把肋条的刚度归入薄板的刚度,从而把具有肋条的各项同性板变换成为不具有肋条的各向异性板,则计算大为简化py。像煤气柜侧板这类肋条只安置在薄板一面的各向异性板,估算其刚度最简单的公式如下

式中,E和G分别为材料的拉压弹性模量和切变模量,/是宽度为a,的T形截面的惯矩,C是一根肋条的抗扭刚度,其它记号如图2.6所示。

侧壁扳作为正交各向异性板,具有强烈的单向性质,其承受环向荷载的能力远大于承受竖向荷载的能力。假设把卷边L型钢分为下图所示的四块板块,在承受环向荷载时,只有①按板工作,而②、③、④按梁工作,这垫梁又可视为板的加劲肋,因此卷边L型钢也可看作单向加劲矩形板,板肋将提高板的环向抗弯刚度和承载力。为正确设计板肋,首先要确定板肋的有效截面,为建模方便,按截面面积、抗弯刚度和截面抵抗矩相等的原则将有效截面用工字型截面等效pel。故侧板等效为边缘工字钢加劲的平面结构,有限元模型如图2.7所示。

在柜体外侧沿高度方向每隔一定距离设置一道抗风环,主要起煤气柜环向支撑的作用,在简化抗风环模型时根据其有效截面用工字型截面等效,建立的有限元模型如图2.8

在实际结构中,立柱与导轨板先焊接在一起,在煤气柜由下向上的安装过程中,导轨板与侧板再进行焊接成为整体。立柱与导轨板对煤气柜整体结构的受为的作用相同,故建模时可把导轨板和立柱作为一个整体建模,将二者截面构成的有效截面用工字型截面等效。为使气柜模型和实际结构吻合,应将梁单元的冀缘和板单元的中忙、重合,故建模时将工字梁所在梁截面的中屯、作一定距离的偏移。煤气柜侧板立柱的连接有限元模型如图2.9所示。

|
上一条
小知识:SIS的联锁和DCS的联锁动作的区别
下一条:小知识:管道基础知识 |
返回列表 |